更新時間:2026-01-20
點擊次數:37
日盲紫外光(240–280 nm)在太陽光譜中幾乎被臭氧層全吸收,因此具備天然低背景噪聲的優勢,在航空、空間偵察、火焰傳感、臭氧空洞監測等領域具有不可替代的作用。選取合適的光導材料是研制高性能日盲探測器的關鍵。盡管 ZnO、SiC、AlGaN、MgZnO、金剛石等寬帶半導體已被廣泛研究,β-Ga2O3因其超高臨界擊穿場強(8 MV cm-1)、化學穩定性及簡易摻雜調控而備受關注。然而,高質量、大面積 β-Ga2O3薄膜的可控制備仍面臨“溫度-晶化度-缺陷"三角矛盾:傳統外延或浮區單晶工藝需 > 1000 ℃,與后端 CMOS、TFT 驅動電路不兼容;磁控濺射或電子束蒸發雖可低溫成膜,卻常陷入非晶+高氧空位陷阱,導致暗電流大、響應慢。如何低溫誘導晶化并同步抑制缺陷,是該領域亟待突破的核心瓶頸。

圖1 摻硅氧化鎵薄膜的特性。(a)制備流程示意圖。(b~d)硅誘導再結晶過程示意圖。(e)O-500 的表面及截面形貌。(f)不同退火溫度下,沉積于二氧化硅包覆硅襯底上的摻硅氧化鎵薄膜的 X 射線衍射圖譜。(g)500℃退火條件下氧化鎵薄膜與摻硅氧化鎵薄膜的 X 射線衍射圖譜對比。(h)X 射線衍射峰的半高全寬。(i)光學透射光譜。(j)由透射光譜推導的光學帶隙。
文章采用電子束共蒸發 Ga2O3(99%)與 SiO2(1%)顆粒,在 SiO2/Si 襯底上沉積 200 nm 非晶*驅層。500 ℃ O2氛圍退火后,AFM與SEM顯示表面均勻分布50-200 nm 納米晶粒;而未摻 Si 樣品在相同溫度下仍保持非晶(XRD 無衍射峰)。高分辨TEM證實,Si原子首先與Ga形成 Ga-Si 鍵,降低成核勢壘;當溫度 ≥500 ℃ 時,Ga-Si 鍵斷裂釋放的能量驅動 Ga-O 四配位網絡重排,形成高結晶度 β-Ga2O3晶核。XRD 在 17°、30.6°、32.1°、35.5°、64.7° 出現(-201)、(400)、(002)、(111)、(403)特征峰,且(002)峰 FWHM 僅 0.39°,已接近脈沖激光外延水平(0.42°)。EDX 面掃描表明 Si 含量 ≈0.35 at.%,且分布均勻,無團簇分相。

圖2 原始態、500℃退火及 800℃退火氧化鎵薄膜的 X 射線光電子能譜圖。(a)X 射線光電子能譜。(b~c)Ga2p3/2、Ga2p1/2及 Ga3d 芯能級譜。(d~f)O1s 芯能級譜。
高分辨 XPS 將 O 1s 分解為 OI(晶格 O2-,530.7 eV)、OII(氧空位,532.0 eV)、OIII(吸附 OH/H2O,533.0 eV)、OIV(SiO2,533.6 eV)四個分量。隨退火溫度升高,OII占比由 11.9%(原始生長態)降至 8.1%(500 ℃)和 7.6%(800 ℃),直接證明 O 原子外擴散填*空位機制。同時 Ga 2p3/2結合能向低能端移動 0.4 eV,表明 Ga-Si 鍵增強、Ga-O 共價性提高,導帶尾態密度降低。紫外--可見透射光譜顯示光學帶隙由 4.66 eV 增至 4.88 eV,與氧空位濃度變化趨勢一致,為后續高抑制比奠定基礎。

圖3 原始態、500℃退火及 800℃退火氧化鎵光電探測器的光譜響應。(a)摻硅氧化鎵薄膜紫外探測器的結構示意圖及相應的測試裝置圖。(b~d)不同偏置電壓下測得的光電探測器光譜響應度。(e~g)光電探測器的歸一化光譜響應度。

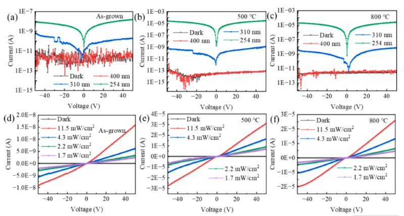
圖4 原始態、500℃退火及 800℃退火氧化鎵光電探測器的光電探測性能。(a~c)光電探測器在暗態及 254 nm、310 nm、400 nm 光照下的電流 - 電壓曲線(各波長光功率密度均為 11.5 mW?cm-2)。(d~f)不同入射光功率密度下、254 nm 光照條件下光電探測器的電流 - 電壓特性。

圖5 原始態、500℃退火及 800℃退火氧化鎵光電探測器的時間響應特性。(a~c)10 V 偏置電壓、254 nm光照功率密度為11.5 mW?cm-2條件下光電探測器的時間相關光電流。(d)500℃退火氧化鎵光電探測器的上升時間與下降時間。(e、f)上升時間與下降時間的統計分析。
Ti/Au 叉指電極(間距50μm,有效面積5×10-4cm2)器件在20 V偏壓下,500℃ 樣品254 nm 響應度高達5.4 A/W,比原始生長態提升4個數量級;暗電流僅8.6×10-14A,對應探測率D* = 7.3×1014Jones。歸一化光譜顯示FWHM窄至40 nm,R254nm/R400nm 抑制比2.1×109,優于多數高溫磁控器件(107量級)。時間分辨光電流表明,500℃ 樣品跌落時間 t_fall ≈ 99 ms,遠快于傳統非晶 Ga2O3(~150 ms),且 250 s 連續照射波動 < 3%,顯示高穩定性。作者進一步指出,通過優化膜厚與異質結結構,響應度仍有1–2個數量級提升空間。
本文中使用的光電測試系統是卓立漢光公司的DSR300光電探測器光譜響應度標定系統。DSR300光電探測器光譜響應度標定系統結合了北京卓立漢光儀器有限公司給多家科研單位定制的光譜響應系統的特點和經驗,采用國家標準計量方法進行全自動測試,是光電器件、光電轉換材料的光譜響應性能研究的必*工具。
結論
本工作提出"Si 誘導低溫再結晶"新機制,僅 500 ℃ 即可實現高結晶度、低氧空位、納米級晶粒的 Si:Ga2O3薄膜,兼顧了大面積均勻性與后端 CMOS/TFT 兼容性。所制日盲紫外探測器在20 V低偏壓下同時實現 5.4 A/W 響應度、3.6×108開關比、7.3×1014Jones 探測率與 2.1×109抑制比,綜合性能超越多數高溫工藝器件。該策略為柔性紫外成像、主動矩陣焦平面及低功耗物聯網傳感節點提供了可擴展、低成本的材料技術路線。
通訊作者及其團隊介紹
陳軍,南開大學(學士);中山大學(碩士,博士)。研究領域為真空微納電子器件,研究方向包括大面積納米冷陰極電子源,納米冷陰極發光、顯示、X射線源和探測器件。在電子科學與技術、光學工程、集成電路工程等專業招收碩士或博士研究生。主持國家重點研發計劃項目,主持完成國家重點基礎研究發展計劃(973)項目子課題、國家高技術研究發展計劃(863計劃)課題、國家自然科學杰出基金、國家自然科學基金等科研項目。
相關產品推薦

本研究采用的是北京卓立漢光儀器有限公司DSR300光電探測器光譜響應度標定系統。如需了解該產品,歡迎咨詢。
免責聲明
北京卓立漢光儀器有限公司公眾號所發布內容(含圖片)來源于原作者提供或原文授*轉載。文章版權、數據及所述觀點歸原作者原出處所有,北京卓立漢光儀器有限公司發布及轉載目的在于傳遞更多信息及用于網絡分享。
如果您認為本文存在侵權之處,請與我們聯系,會*一時間及時處理。我們力求數據嚴謹準確,如有任何疑問,敬請讀者不吝賜教。我們也熱忱歡迎您投稿并發表您的觀點和見解。